행렬식의 표기
n차 정방행렬 A의 행렬식은 |A| 혹은 dct(A)라고 쓴다.
1차 행렬식 ~ 3차 행렬식

1차에서 3차 까지는 위와 같은 방법으로
계산이 가능하다.
3차 행렬은 사루스 방식으로 계산이 가능하지만
4차 부터는 위와 같은 방식으로는 불가능하다.
소행렬식과 여인수
A의 i행과 j열을 뺀 부분행렬의 행렬식을 A의 소행렬식 m이라 한다.
소행렬식에 부호를 붙인 (i+j에 의해 + 혹은 - ) c 를 A(m이 아님)의 여인수라 한다.

4차 이상의 N차 행렬식은 여인수 분해를 이용한다.
위는 행렬식 A와 소행렬식 M과 여인수 C 의 관계를 나타낸다.
예를 들어 a11을 중심으로 묶으면 중심이된 1행 1열은 지워지고
m11과 동일한 숫자가 나온다.
다만 ij 값이 홀수인 경우에는 반대로 나온다. ( - )
최종적으로 위의 식에 따르면
a와 c의 곱을 더하면 |A|가 나온다.
이는 어떤 행렬 어떤 열을 중심으로 해도
값은 동일하게 |A|다.
-덧-
소행렬식에 마이너스가 붙는 경우
열 혹은 행을 바꾼값과 같다.

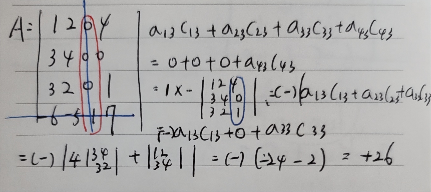
N차 행렬식 예시

중심이 되는 행이나 열을 잡을 떄는
당연히 계산이 가장 쉬운 것이 좋다.
따라서 위의 경우는 0이 가장 많은
열이나 행을 골라준다.(붉은 박스)
결과 파란선 a43c43이 남는다.
c43 은 ij가 홀수이기 때문에 - 가 붙는다.
이제 a43c43을 다시 풀어준다.
마찬가지로 0이 들어가게
중심을 잡아 준다. (파란 박스)
'경제학 이론 및 분석 도구 > 경제수학' 카테고리의 다른 글
| 대수함수의 미분법 (2) | 2023.08.16 |
|---|---|
| 4. 행렬식 (2) 행렬식의 성질과 역행렬 (1) | 2023.08.09 |
| 3. 행렬대수 개괄 (3) | 2023.05.10 |
| 2. (경제수학) 벡터 (1) | 2023.04.26 |
| 1-1 선형모형과 행렬대수 (정태분석) 행렬의 기본행연산 (0) | 2022.09.13 |