미분의 정의
함수 y=f(x)를 미분하여 얻은 함수.
접선의 기울기를 구하고자 할 때 자주 사용한다.
변화율
함수 f(x)에서 x의 값이 a에서 a+△x까지 변할 때,
y가 △y만큼 변화하면 이 변화량의 비△y/△x를
구간 [a,a+△]에서의 평균변화율이라 한다.
그리고 △x가 한없이 0에 가까워질 때
△y/△x가 확정인 극한값을 가지면
이것을 f(x)의 x=a에서의 변화율 또는 미분계수라고 한다.

식으로 표현하면 위와 같다.
-참고-
함수 y=f(x)을 미분하여 얻은 함수 f'(x)를
도함수라고 한다.
일반적으로 f(x)의 미계수 또는 미분계수라고도 한다.
미분법 공식

주로 사용하는 미분 공식 6가지다.

분수형태의 미분에 대한
도출 과정설명은 위와 같다.
n차 도함수
함수 y-f(x)가 미분가능할 때 도함수 f(x)를 1차도함수라 하며,
이 도함수가 또 미분가능하면 1차 도함수의 도함수
{f ' (x)}'를 구할 수 있다.이를 2차 도함수라 한다.
2차 도함수는 d/dx (dy/dx)로 정의되며
y'' , f''(x) 등으로 나타낸다.
2차 도함수도 다시 미분하는 경우 3차 도함수가 되며
지속적으로 미분이 가능한 만큼 n 차 도함수가 가능하다.
즉, y=f(x)가 x에 관하여 n번 미분가능하면
n차 도함수가 된다.

예시 4가지는 위와 같다.
합성함수의 미분법 (연쇄법칙)
y가 u에 관한 미분가능함수(y=f(u))이며 ,
u는 x에 관한 미분가능함수(u=g(x))이면
y=f(u)=f(g(x))가 성립한다.
즉, dy/dx = dy/du 곱하기 du/dx


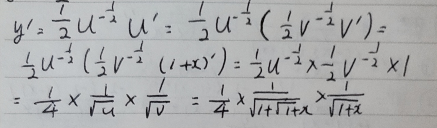
예시 2문항은 위와 같다.
음함수의 미분법
<정의>
함수는 하나의 변수로 묶이는 양함수와
ex) y=x3제곱 + x제곱 +5 등
하나의 변수로 묶이지 않는 음함수가 있다.
ex)x제곱 + y제곱 = a제곱 등 (원 등)
이때 y같이 하나의 변수로 식을
다 묶을 수 없기 때문에 y를 x의 항등ㄹ로
나타내는 과정을 거치지 않고서 도함수를
구하는 방법을 음함수 미분법이라고 한다.
이 방법은 x는 기존의 방법대로 미분하고
y의 경우에는 통으로 y'을 만들어 버린다.
따라서 xy가 같이 있는 경우에는
x로 한번 미분, y로 한 번 미분 하여
총 2개의 식으로 표현된다.

실 계산 예시는 위와 같다.
이상으로
대수함수의 미분법 포스팅을 마칩니다.
'경제학 이론 및 분석 도구 > 경제수학' 카테고리의 다른 글
| 지수함수와 로그함수 (3) | 2023.09.27 |
|---|---|
| 고유근 (eigenvalue) (0) | 2023.08.17 |
| 4. 행렬식 (2) 행렬식의 성질과 역행렬 (1) | 2023.08.09 |
| 4. 행렬식 (1) n차 행렬, 소행렬식 여인수 (0) | 2023.05.17 |
| 3. 행렬대수 개괄 (3) | 2023.05.10 |